An interactive hydrodynamic solver for sewer/stormwater networks.
Pipedream is a physically-based sewer/stormwater model designed for real-time applications. The pipedream toolkit consists of four major components:
- A hydraulic solver based on the 1D Saint-Venant equations.
- An infiltration solver based on the Green-Ampt formulation.
- A water quality solver based on the 1D advection-reaction-diffusion equation (experimental).
- An interactive simulation manager that facilitates real-time data assimilation and control.
Example use-cases for pipedream include:
- Real-time detection and forecasting of urban flooding.
- Implementation of real-time control strategies for combined sewer overflows.
- Stormwater asset management and detection of maintenance emergencies.
- Data-driven water quality assessment.
Use pip to install pipedream-solver via pypi:
$ pip install pipedream-solverCurrently, only Python 3 is supported.
The following dependencies are required to install and use the pipedream toolkit:
- numpy (>= 1.18)
- pandas (>= 0.25)
- scipy (>= 1.5)
- numba (>= 0.40)
- matplotlib (>= 3.0)
Listed version numbers have been tested and are known to work (this does not necessarily preclude older versions).
# Import modules
import pandas as pd
from pipedream_solver.hydraulics import SuperLink
from pipedream_solver.simulation import Simulation
# Specify data path
input_path = './data/six_pipes'
# Get model components
superjunctions = pd.read_csv(f'{input_path}/superjunctions.csv')
superlinks = pd.read_csv(f'{input_path}/superlinks.csv')
junctions = pd.read_csv(f'{input_path}/junctions.csv')
links = pd.read_csv(f'{input_path}/links.csv')
# Read input data
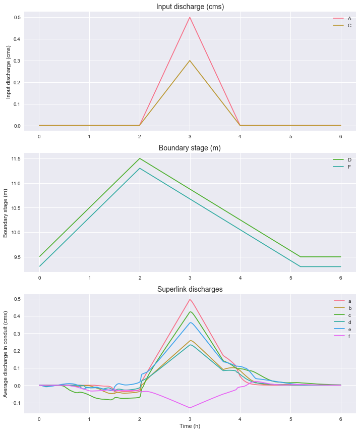
Q_in = pd.read_csv(f'{input_path}/flow_input.csv', index_col=0)
H_bc = pd.read_csv(f'{input_path}/boundary_stage.csv', index_col=0)# Instantiate superlink model
superlink = SuperLink(superlinks, superjunctions, links, junctions)
# Set constant timestep (in seconds)
dt = 30
# Create simulation context manager
with Simulation(superlink, Q_in=Q_in, H_bc=H_bc) as simulation:
# While simulation time has not expired...
while simulation.t <= simulation.t_end:
# Step model forward in time
simulation.step(dt=dt, num_iter=1)
# Record internal depth and flow states
simulation.record_state()
# Print progress bar
simulation.print_progress()
[==================================================] 100.0% [0.82 s]
See plotting code here.
Hydraulic solver based on the SUPERLINK scheme proposed by Zhong Ji (1998).
Ji, Z. (1998). General Hydrodynamic Model for Sewer/Channel Network Systems.
Journal of Hydraulic Engineering, 124(3), 307β315.
doi: 10.1061/(asce)0733-9429(1998)124:3(307)

